Упр.203 ГДЗ Дорофеев Суворова 8 класс (Алгебра)
Решение #1

Рассмотрим вариант решения задания из учебника Дорофеев, Суворова, Бунимович 8 класс, Просвещение:
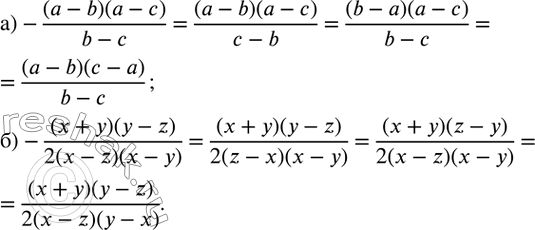
203. Замените выражение равным выражением так, чтобы перед дробью не было знака «минус». Выполните задание разными способами:
а) -(a-b)(a-c)/(b-c);
б) -(x+y)(y-z)/2(x-z)(x-y) .
*размещая тексты в комментариях ниже, вы автоматически соглашаетесь с пользовательским соглашением