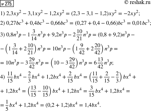
Упр.275 ГДЗ Муравин 7 класс (Алгебра)
Решение #1

Рассмотрим вариант решения задания из учебника Муравин, Муравина 7 класс, Дрофа:
275. Приведите подобные члены:
1) 2,3ху^2 - 3,1 ху^2 - 1,2ху^2;
2) 0,27bс^3 + 0,4bс^3 - 0,666с^3;
3) 0,8n^3 р - 1 3/14 n^3 р + 9,2n^3 р - 2 10/21 n^3 р;
4) 11/15 bx^4 - 2/3 bx^4 + 1,2bx^4 + 2/15 bx^4.
*размещая тексты в комментариях ниже, вы автоматически соглашаетесь с пользовательским соглашением