Упр.291 ГДЗ Муравин 7 класс (Алгебра)
Решение #1

Рассмотрим вариант решения задания из учебника Муравин, Муравина 7 класс, Дрофа:
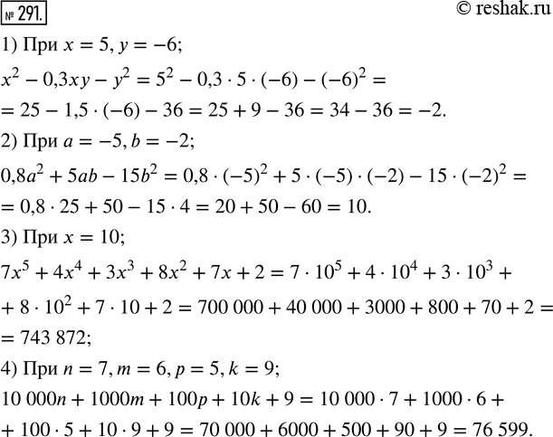
291. Найдите значение многочлена:
1) x^2 - 0,3ху - у^2 при х = 5, у = -6;
2) 0,8а^2 + 5ab - 15b^2 при а = -5, b = -2;
3) 7x^5 + 4x^4 + 3x^3 + 8x^2 + 7x + 2 при x = 10;
4) 10 000n + 1000m + 100р + 10k + 9 при n = 7, m = 6, р = 5, k = 9.
*размещая тексты в комментариях ниже, вы автоматически соглашаетесь с пользовательским соглашением