Упр.337 ГДЗ Дорофеев Суворова 8 класс (Алгебра)
Решение #1

Рассмотрим вариант решения задания из учебника Дорофеев, Суворова, Бунимович 8 класс, Просвещение:
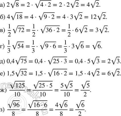
337. Вынесите множитель из-под знака корня:
а) 2v8;
б) 4v18;
в) 1/2 v72;
г) 1/3 v54;
д) 0,4v75;
е) 1,5v32;
ж) v125/10;
з) v96/8.
*размещая тексты в комментариях ниже, вы автоматически соглашаетесь с пользовательским соглашением