Упр.542 ГДЗ Муравин 7 класс (Алгебра)
Решение #1

Рассмотрим вариант решения задания из учебника Муравин, Муравина 7 класс, Дрофа:
542. Разложите на множители:
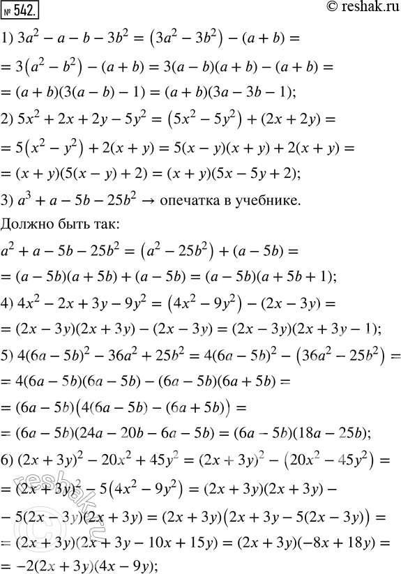
1) 3а^2 - а - b - 3b^2;
2) 5x^2 + 2х + 2у- 5у^2;
3) а^3 + а - 5b - 25b^2;
4) 4x^2 - 2x + 3у - 9у^2;
5) 4(6а - 5b)^2 - 36а^2 + 25b^2;
6) (2х + 3y)^2 - 20x^2 + 45y^2;
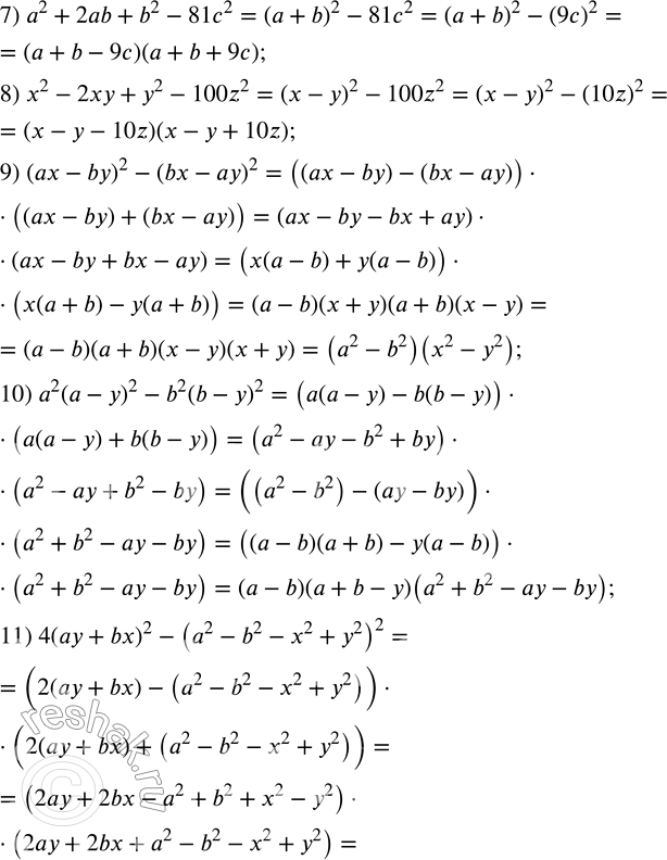
7) а^2 + 2аb + b^2 - 81с^2;
8) x^2 - 2ху + у^2 - 100z^2;
9) (ах - by)^2 - (bх - ау)^2;
10) а^2 (а - у)^2 - b^2 (b - у)^2;
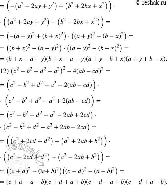
11) 4(ау + bх)^2 - (а^2 - b^2 - х^2 + у^2)^2;
12) (с^2 - b^2 + d^2 - а^2)^2 - 4(ab - cd)^2.
*размещая тексты в комментариях ниже, вы автоматически соглашаетесь с пользовательским соглашением