Упр.55 ГДЗ Дорофеев Суворова 8 класс (Алгебра)
Решение #1

Рассмотрим вариант решения задания из учебника Дорофеев, Суворова, Бунимович 8 класс, Просвещение:
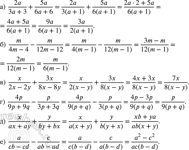
55. Упростите выражение.
а) 2a/(3a+3)+5a/(6a+6);
б) m/(4m-4)-m/(12m-12);
в) x/(2x-2y)+3x/(8x-8y);
г) 4p/(9p+9q)-p/(3p+3q);
д) x/(ax+ay)+y/(by+bx);
е) a/(cb-cd)-c/(ab-ad).
*размещая тексты в комментариях ниже, вы автоматически соглашаетесь с пользовательским соглашением