Упр.63 ГДЗ Дорофеев Суворова 8 класс (Алгебра)
Решение #1

Рассмотрим вариант решения задания из учебника Дорофеев, Суворова, Бунимович 8 класс, Просвещение:
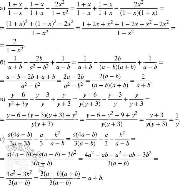
63. Упростите выражение:
а) (1+x)/(1-x)+(1-x)/(1+x)-(2x^2)/(1-x^2 );
б) 1/(a+b)-2b/(a^2-b^2 )+1/(a-b);
в) (y-6)/(y^2+3y)-(y-3)/y+y/(y+3);
г) a(4a-b)/(3a-3b)-a/3-b^2/(a-b).
*размещая тексты в комментариях ниже, вы автоматически соглашаетесь с пользовательским соглашением