Упр.828 ГДЗ Дорофеев Суворова 8 класс (Алгебра)
Решение #1

Рассмотрим вариант решения задания из учебника Дорофеев, Суворова, Бунимович 8 класс, Просвещение:
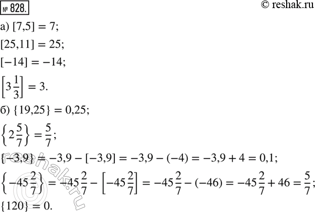
828. а) Найдите целую часть числа: 7,5; 25,11; -14; 3 1/3.
б) Найдите дробную часть числа: 19,25; 2 5/7; -3,9; -45 2/7; 120.
*размещая тексты в комментариях ниже, вы автоматически соглашаетесь с пользовательским соглашением