Упр.95 ГДЗ Дорофеев Суворова 8 класс (Алгебра)
Решение #1

Рассмотрим вариант решения задания из учебника Дорофеев, Суворова, Бунимович 8 класс, Просвещение:
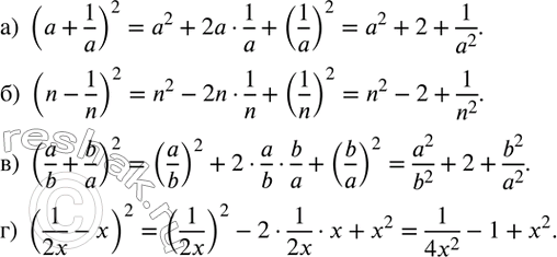
95. Выполните возведение в квадрат:
а) (a+1/a)^2;
б) (n-1/n)^2;
в) (a/b+b/a)^2;
г) (1/2x-x)^2.
*размещая тексты в комментариях ниже, вы автоматически соглашаетесь с пользовательским соглашением